Dal suono alla musica: la meccanica degli strumenti a corda
26 set 2025
L’articolo si propone di fornire un contributo all’analisi della meccanica dello strumento in rapporto alle tematiche del suono della musica nelle loro accezioni più ampie. Gli ambiti in discussione sono molto estesi ed articolati e coinvolgono tutti gli strumenti musicali: in questa sede si farà riferimento in particolare ai cordofoni, categoria a cui appartengono gli strumenti della liuteria. Ma le considerazioni esposte hanno validità generale e sono pertinenti sia a strumenti propri della cultura musicale occidentale sia ad altre culture del mondo a cui fanno riferimento differenti strumenti e differenti tecniche musicali ed interpretative.
La multidisciplinarietà propria della meccanica dello strumento si evidenzia in molteplici affinità con differenti discipline sia a carattere teorico sia sperimentale, mantenendo peraltro un carattere distintivo di particolare interesse per i costruttori di strumenti musicali.
Introduzione
Per definire e caratterizzare la meccanica dello strumento musicale è opportuno partire dai riferimenti generali di suono e di musica, ambiti estremamente generali a cui si ispira la rivista in cui tale contributo è inserito. Tali ambiti sono stati affrontati e approfonditi da numerosissimi studiosi in differenti epoche storiche, sia dal punto di vista scientifico sia da quello musicologico, filosofico ed estetico.
Dal punto di vista fisico ed in linea del tutto generale si può ritenere che la differenza principale tra musica e suono risieda nell'ordine e nell'intenzione con cui vengono organizzati i suoni. Il suono è infatti definibile come una qualsiasi vibrazione che si propaga nell'aria (o in un altro mezzo) e che l’orecchio umano percepisce. Il suono può essere naturale o casuale, come il rumore di un'auto, il vento o il battito di una porta. È una percezione sensoriale che non necessariamente ha un significato o un'intenzione artistica.
Per contro la musica è una forma di arte che utilizza il suono organizzato in una struttura armonica e ritmica con l'intento di esprimere emozioni, idee o storie. La musica è una forma di suono, ma è strutturata in modo intenzionale, con elementi come melodia, armonia, ritmo e timbro, che vengono combinati per creare un'esperienza emotiva e culturale.
Pertanto mentre il suono è qualcosa che esiste naturalmente e può corrisponde a qualsiasi vibrazione uditiva, la musica è una forma di arte che sfrutta il suono in modo strutturato e intenzionale.
Secondo un approccio tipico della fisica il suono è una quindi del tutto assimilabile ad una forma, anche complessa, di vibrazione che si propaga attraverso un mezzo come l'aria, l'acqua o un solido e viene percepito dall'orecchio umano come variazione della pressione dell'aria stessa. La vibrazione produce delle onde sonore che viaggiano nel mezzo, e l’orecchio umano ne rileva le variazioni temporali.
In quanto fenomeno fisico il suono è identificabile attraverso variabili misurabili che sono essenzialmente
- la frequenza (misurata in Hertz, Hz), intesa come la velocità con cui le particelle del mezzo oscillano. Frequenze più alte corrispondono a toni acuti, frequenze più basse a toni gravi;
- l’ampiezza (misurata in decibel, dB), cioè l'intensità del suono, che determina quanto forte o debole esso è percepito;
- il timbro, che definisce la qualità del suono e che permette di distinguere diverse fonti sonore (ad esempio, la differenza tra il suono di un pianoforte e di una chitarra, anche se suonano la stessa nota);
- la durata, intesa come la lunghezza temporale del suono, che può essere breve (come un colpo) o prolungata (come il suono di un rullo di tamburo).
Come già osservato il suono può essere causato da fenomeni naturali come il tuono, il vento, il battito di cuore o artificiali come il rumore prodotto da un’automobile o di un macchinario industriale o dal battito di mani.
Quando si parla di musica occorre riferirsi non solo ad una dimensione fisica ma anche ad un ambito artistico e culturale. Infatti la musica è una costruzione intenzionale di suoni che segue principi estetici, culturali e formali. È un linguaggio sonoro che comunica emozioni, idee e storie. La musica non è solo identificabile solo come una sequenza di suoni, ma una combinazione ordinata di essi, che viene interpretata secondo delle regole armoniche e ritmiche.
Secondo questa visione la musica è caratterizzata da aspetti peculiari quali:
- la melodia, intesa come una sequenza di suoni organizzati in un schema riconoscibile, che può essere semplice, come in una canzone pop, o complesso, come in un tema classico;
- l’armonia, che può essere interpretata come l'uso di suoni che si combinano simultaneamente per creare accordi. L'armonia definisce spesso l'atmosfera di un brano musicale;
- il ritmo, che rappresenta la disposizione temporale dei suoni, atto a creare una struttura regolare o irregolare. Un ritmo può essere regolare, come in una danza, o irregolare, come in alcune forme di musica contemporanea;
- la forma, intesa come l'organizzazione del materiale musicale in una struttura, come ad esempio la forma sonata o il ciclo di canzoni in un album. La forma aiuta a dare coerenza e senso al brano;
- la dinamica e il timbro, correlati alla variazione di volume, dalla musica più forte alla più delicata, e alle caratteristiche timbriche che dipendono dallo strumento musicale utilizzato per l’esecuzione della musica stessa.
Partendo da queste considerazioni si delineano le differenze sostanziali fra suono e musica:
- l’intento e il contesto. Il suono può essere casuale, naturale o prodotto senza uno scopo artistico specifico. La musica, invece, è sempre creata con uno scopo estetico e intenzionale. Un suono isolato, come un colpo di gong, può diventare parte di un'opera musicale, ma da solo non è musica, perché manca di una strutturazione o di un contesto espressivo;
- la struttura e l’ordine. La musica implica una struttura in cui i suoni sono disposti in un certo ordine, ritmico, melodico o armonico, mentre il suono è semplicemente un fenomeno uditivo, senza una necessaria organizzazione o previsione;
- l’evoluzione. Nel corso della storia le civiltà hanno dato una grande importanza alla musica come espressione culturale, spesso associandola a riti religiosi, cerimonie o intrattenimento. La musica ha preso forma all'interno di specifici stili e generi che le danno un senso (ad esempio, musica classica, rock, elettronica, etc.), mentre il suono rimane fondamentalmente una percezione sensoriale.
Si configurano differenze fra suono e musica anche dal punto di vista dell’approccio di studio.
Il suono trova la propria disciplina di riferimento nell'acustica, branca della fisica che studia le onde di pressione, le sue cause, la sua propagazione e la sua ricezione. In un'accezione più generale, l'acustica comprende anche lo studio degli infrasuoni e degli ultrasuoni, che non sono percepibili dall'uomo attraverso l'udito, ma si comportano, da un punto di vista fisico, allo stesso modo. Dal punto di vista applicativo l’acustica comprende poi settori specifici quali l’acustica architettonica, l’acustica ambientale, l’acustica subacquea, fino ad arrivare alla psicoacustica e all’audiometria.
La musica, in quanto bene culturale, ha come propria disciplina di riferimento la musicologia, con ambiti specifici orientati, da un lato, alla teoria musicale, che analizza i fondamenti della musica e fornisce un sistema per articolare e utilizzare questi elementi nel linguaggio compositivo e dall’altro all’educazione musicale che, invece, si occupa dell'insegnamento e dell'apprendimento della musica, mirando allo sviluppo delle competenze musicali e cognitive degli individui.
Con queste premesse è possibile collocare correttamente la meccanica dello strumento musicale anche in rapporto alla fisica acustica.
Fisica acustica e Meccanica dello strumento
Le discipline della fisica acustica e della meccanica dello strumento musicale sono spesso, ma erroneamente, considerate l’una sinonimo dell’altra. Anche se esistono certamente correlazioni e sinergie è opportuno focalizzare alcuni elementi distintivi.
La fisica acustica è un ramo della fisica che studia la natura del suono, il suo comportamento, la sua propagazione e la corrispondente percezione. In pratica, si occupa di come le vibrazioni si generano, come viaggiano attraverso vari mezzi e come vengono interpretate dai sensi umani, in particolare l'udito. Per sua natura si basa su principi fisici che coinvolgono la meccanica dei fluidi, l'energia e l'interazione delle onde sonore con gli oggetti e gli ambienti.
Gli elementi principali della fisica acustica possono essere sintetizzati nelle seguenti voci:
- onde sonore, cioè in oscillazioni che si propagano in un mezzo (come l'aria, l'acqua o solidi). Esse possono essere in generale longitudinali, con movimento di particelle del mezzo lungo la direzione di propagazione dell'onda, o trasversali, dove le particelle si spostano perpendicolarmente alla direzione di propagazione dell'onda;
- frequenza e altezza del suono. La frequenza rappresenta il numero di oscillazioni (vibrazioni) al secondo che avvengono in un'onda sonora. La frequenza determina la tonalità o altezza del suono: l’alta frequenza caratterizza suoni acuti, la bassa frequenza è tipica di suoni gravi;
- ampiezza. È un parametro dell'onda sonora legata all'intensità del suono, che corrisponde alla percezione del volume. Maggiore è l'ampiezza, più forte sarà il suono;
- velocità del suono, intesa come la velocità con cui l'onda sonora si propaga nel mezzo. Essa dipende dalla densità del mezzo: in un mezzo più denso il suono si propaga più velocemente rispetto ad un mezzo a minore densità;
- temperatura: la velocità del suono aumenta con l'aumento della temperatura. Ad esempio alla temperatura di 20°C la velocità del suono nell'aria è di circa 343 m/s;
- riflessione, rifrazione e diffusione. Tali fenomeni si manifestano quando le onde sonore incontrano un ostacolo. Esse possono riflettersi, rimbalzando su superfici dure (come le pareti), creando effetti di eco. Oppure possono rifrangersi cambiando direzione quando passano da un mezzo a un altro. Infine possono diffondersi, distribuendosi in diverse direzioni, influenzando come il suono si propaga nell'ambiente;
- interferenza e diffrazione. Le onde sonore, come tutte le onde, possono interferire tra loro, in modalità costruttiva quando, ad esempio, due onde si combinano per rinforzarsi a vicenda, creando un suono più forte. Ovvero in modalità, quando le onde si sovrappongono in modo da annullarsi parzialmente, riducendo l'intensità del suono. La diffrazione riguarda la capacità delle onde sonore di piegarsi attorno agli ostacoli e di propagarsi anche dietro di essi, un fenomeno che è importante nella progettazione di sale da concerto o sistemi audio;
- percezione del suono. La fisica acustica si occupa anche della percezione del suono, che coinvolge fenomeni come il timbro cioè la qualità del suono che permette di distinguere un suono da un altro. Ulteriore fenomeno è quello della posizione e della localizzazione: Il cervello umano è in grado di localizzare la direzione da cui proviene un suono grazie alle differenze di tempo e intensità con cui l'onda sonora raggiunge l’orecchio. Ancora l’effetto Doppler, caratterizzato dal cambiamento di frequenza o lunghezza d'onda di un suono percepito quando la sorgente sonora e l'osservatore si muovono l'uno rispetto all'altro.
Sinteticamente si può affermare quindi che la fisica acustica rappresenta un campo di studio che analizza l'aspetto teorico del suono e della propagazione delle onde sonore.
Queste indicazioni sulla fisica acustica consentono di evidenziare le peculiarità della Meccanica dello strumento. Tale tematica scientifica si concentra sul comportamento fisico dei strumenti musicali nel produrre suono. In particolare, si occupa delle forze meccaniche, del comportamento strutturale e dei movimenti che avvengono all'interno dello strumento durante la produzione del suono. Gli aspetti principali della meccanica dello strumento sono:
- vibrazione delle parti: ad esempio, come una corda vibrante (strumento a corda), una membrana (strumento a percussione) o una colonna d'aria (strumento a fiato) crea il suono;
- risonanza. Ogni strumento ha una struttura che entra in risonanza a determinate frequenze secondo fenomeni complessi, amplificando il suono prodotto.
- forze di eccitazione, correlate a come il musicista interagisce con lo strumento (suonare una corda, soffiare nel condotto di uno strumento a fiato, colpire una membrana);
- meccanismi di controllo del suono, associati a differenti interazioni come l'uso di un archetto su un violino o la pressione dell'aria in un organo.
La meccanica dello strumento si concentra su come le forze fisiche interne ed esterne (come il movimento delle dita o il respiro) influenzano le vibrazioni e la produzione del suono. è un campo affascinante che studia come i diversi strumenti musicali producono suoni e come questi suoni si propagano, si modificano e vengono percepiti. Ogni tipo di strumento musicale ha una sua specifica struttura acustica, che dipende dal modo in cui viene prodotto il suono, dalla forma dello strumento, dal materiale con cui è costruito e da come le onde sonore vengono amplificate e modulate.
Con riferimento ai cordofoni, famiglia di strumenti a cui appartengono gli strumenti musicali di liuteria, si possono evidenziare i principali fenomeni e fattori che consentono di generare il suono dalla vibrazione.
Gli strumenti a corda producono suono grazie alla vibrazione di una o più corde. Quando la corda viene pizzicata (come nel caso della chitarra), sfregata (come nel caso dell'arco di un violino) o percossa (come nel caso di un pianoforte), le vibrazioni si trasmettono attraverso il corpo dello strumento, che amplifica il suono in modalità estremamente differenti a seconde della geometria e delle caratteristiche strutturali dello strumento stesso. I principali fattori acustici riguardano:
- la frequenza di vibrazione: la frequenza della vibrazione della corda determina la tonalità del suono. Una corda più lunga e più sottile tende a produrre frequenze basse (suoni gravi), mentre una corda più corta e più tesa produce frequenze alte (suoni acuti);
- la risonanza. Il corpo dello strumento (ad esempio, la cassa di risonanza di una chitarra o di un violino) amplifica il suono generato dalla corda, in modo simile a un amplificatore acustico naturale. Il corpo amplifica alcune frequenze e ne smorza altre, contribuendo al timbro caratteristico dello strumento;
- i materiali. I materiali con cui è costruito lo strumento (legno, metallo, plastica, ecc.) influenzano la qualità del suono. Il legno, per esempio, è un materiale che contribuisce a una buona risonanza, mentre metalli come l'acciaio nelle corde possono produrre toni più brillanti.
La meccanica dei cordofoni riguarda in particolare il funzionamento degli strumenti musicali a corda, ovvero quegli strumenti che producono suoni grazie alla vibrazione di una o più corde tese. Gli strumenti a corda si dividono in vari tipi, come archi, percussione e a pizzico, ma tutti si basano su alcuni principi fisici comuni.
Le principali problematiche meccaniche che regolano il funzionamento dei cordofoni riguardano le corde, la loro vibrazione, la cassa acustica, i meccanismi per il controllo della vibrazione, la legge di vibrazione delle corde, gli effetti acustici e l’accordatura.
Le corde sono elementi fondamentali nei cordofoni. La loro vibrazione è la fonte del suono. Le corde possono essere realizzate con differenti materiali (acciaio, nylon, budello, etc.), ognuno con caratteristiche sonore diverse. In generale sono da considerare:
- la lunghezza della corda: Più la corda è lunga, più il suono sarà grave. In strumenti come la chitarra o il violino, la lunghezza della corda è regolata tramite i tasti (nel caso della chitarra) o le dita (nel violino) per ottenere note diverse;
- la tensione della corda: Maggiore è la tensione della corda, più alta è la frequenza di vibrazione, quindi il suono prodotto sarà più acuto. Questo è il principio su cui si basano i meccanismi di accordatura: ruotando le chiavi di accordatura, si tende la corda per alzare la frequenza, oppure si allenta per abbassarla;
- la massa della corda: Corde più spesse (più pesanti) vibrano a frequenze più basse, producendo suoni più gravi.
La vibrazione delle corde è conseguente alla loro eccitazione. Tale vibrazione è la chiave per la produzione del suono. La vibrazione può essere prodotta in vari modi:
- con pizzico (come nella chitarra o nell'arpa): Le corde vengono pizzicate con le dita o un plettro;
- con un arco (come nel violino o nel violoncello): L'arco, costituito da un fascio di crini di cavallo tesi, sfrega la corda provocando la sua vibrazione;
- con percussione (come nei liuti): Le corde sono percosse con le dita o con un plettro.
La cassa acustica (o cassa di risonanza) è fondamentale per amplificare il suono prodotto dalla vibrazione delle corde. La cassa raccoglie l'energia vibratoria delle corde e la trasforma in onde sonore che possono essere udite dall'orecchio umano. È rappresentata da una cavità che amplifica il suono prodotto dalla vibrazione delle corde. Il materiale della cassa (legno per violini e chitarre, ad esempio) influisce sul timbro e sul volume del suono. La cassa di risonanza risuona a determinate frequenze e amplifica in particolare quelle che sono in sintonia con le vibrazioni delle corde. La forma e il volume della cassa sono progettati per ottimizzare queste risonanze.
I meccanismi di controllo della vibrazione sono determinanti per il timbro dello strumento. Esistono diversi modi in cui la vibrazione della corda può essere modificata o controllata. Nei cordofoni come la chitarra o il violino i tasti o il ponte sono usati per fermare la corda a una determinata lunghezza, cambiando la frequenza di vibrazione e quindi la nota prodotta. In alcuni strumenti, è possibile utilizzare mute per attenuare la vibrazione delle corde e rendere il suono più morbido o per ottenere effetti particolari.
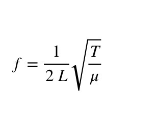
La legge che regola la vibrazione delle corde può essere espressa come segue:

essendo f la frequenza della nota, L la lunghezza della corda, T la tensione della corda e μ la densità lineare della corda (la massa per unità di lunghezza).
Questa formula mostra come la frequenza della vibrazione dipenda dalla lunghezza della corda, dalla tensione e dalla massa della corda stessa.
Per quanto riguarda gli effetti acustici e la sonorità di uno strumento ogni cordofono ha caratteristiche uniche che derivano dall'interazione tra la corda, la cassa di risonanza e il modo in cui viene suonato. Alcuni aspetti che influiscono sulla qualità sonora sono:
- il timbro, che dipende dalla combinazione di frequenze armoniche prodotte dalla vibrazione della corda e dalla forma e materiale della cassa di risonanza;
- il sustain, che rappresenta la durata del suono dopo che la corda è stata pizzicata o strofinata o percossa. Strumenti come la chitarra acustica hanno un sustain che si affievolisce lentamente, mentre strumenti come il violino, grazie alla continua sollecitazione dell'arco, possono avere un sustain più lungo e controllato;
- la vibrazione armonica. Oltre alla frequenza fondamentale, la corda vibra anche in armoniche, creando una serie di frequenze superiori che arricchiscono il suono.
Infine, per quanto riguarda l’accordatura, la tensione delle corde è regolata tramite l'uso delle meccaniche di accordatura (come le chiavi nella chitarra o nel violino) che permettono di cambiare la tensione della corda, alzando o abbassando il tono. Una corretta tensione è essenziale per ottenere l'accordatura giusta e un suono piacevole.
In sintesi, la meccanica dei cordofoni si basa su una combinazione di tensione, lunghezza, massa delle corde e risonanza della cassa, con l'abilità dell'esecutore che può influire sul risultato sonoro. La scienza dietro questi strumenti è particolarmente complessa, poiché un piccolo cambiamento in uno di questi fattori può alterare notevolmente il timbro, la frequenza e la qualità complessiva del suono prodotto.
Le problematiche di interesse della meccanica dello strumento sono molteplici ed estremamente diversificate. Da un punto di vista generale senza entrare nel merito di aspetti specifici si vogliono sottolineare alcuni aspetti caratterizzanti.
La vibrazione della corda è il cuore del suono di un cordofono. La corda, quando pizzicata, sfregata o percossa, inizia a vibrare in modo complesso. I parametri principali che influenzano questa vibrazione sono:
- la frequenza fondamentale, cioè la frequenza alla quale la corda vibra in modo semplice, ossia come una onda stazionaria che si forma tra i due punti di ancoraggio (solitamente le estremità della corda);
- le armoniche superiori. La corda non vibra solo alla sua frequenza fondamentale, ma anche a frequenze multiple di essa, che sono chiamate armoniche. Queste armoniche influenzano il timbro del suono.
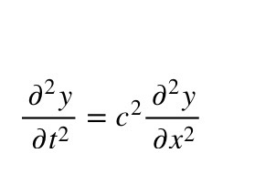
La vibrazione della corda può essere modellata in forma semplice con l'equazione di un'onda longitudinale che si propaga lungo una corda tesa:

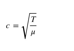
dove y(x, t) rappresenta la posizione della corda in funzione della posizione x in un riferimento cartesiano piano x, y e del tempo t, e c è la velocità di propagazione dell'onda sulla corda, che dipende dalla sua tensione T e dalla massa per unità di lunghezza μ.
La velocità dell'onda sulla corda è data da:
Quando una corda vibra essa genera delle onde stazionarie, cioè onde che sembrano rimanere ferme nel tempo, con nodi (punti di non vibrazione) e antinodi (punti di massima vibrazione). Le frequenze alle quali queste onde stazionarie si formano sono determinate dalla lunghezza della corda e dalla tensione.
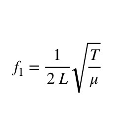
La frequenza fondamentale (prima armonica) corrisponde a una vibrazione in cui la corda oscilla in modo tale che ci sia un nodo al centro e un antinodo a ciascuna estremità. La frequenza f1 della prima armonica è data da:

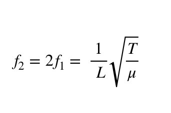
Le armoniche superiori (seconda, terza, ecc.) corrispondono a vibrazioni della corda in cui ci sono più nodi e antinodi lungo la sua lunghezza. Ad esempio, la seconda armonica ha due nodi e tre antinodi, e la sua frequenza f2 è il doppio della prima armonica:

La terza armonica avrà una frequenza f3 = 3f1, e così via.
Il ponte o la sella di uno strumento (come la chitarra) è il punto in cui la corda trasferisce l'energia vibratoria alla cassa di risonanza. La cassa di risonanza amplifica queste vibrazioni, ed è un elemento cruciale per la produzione del suono udibile. La risonanza della cassa avviene quando la frequenza di vibrazione della corda coincide o si avvicina alle frequenze naturali di vibrazione della cassa stessa.
La cassa di risonanza funge da amplificatore acustico: quando una corda vibra, essa crea un movimento d'aria che viene amplificato dalla cavità della cassa. La cassa di risonanza è progettata in modo tale da massimizzare l'efficienza di questo processo.
Ogni cassa ha una o più frequenze di risonanza naturali, che dipendono dalle sue dimensioni e dalla sua forma. La risonanza può amplificare determinate frequenze prodotte dalla vibrazione della corda, migliorando il volume e il timbro.
Le dimensioni della cassa e i materiali utilizzati influenzano notevolmente il suono finale. Una cassa più grande tende a produrre frequenze più basse (suoni più gravi), mentre una cassa più piccola favorisce frequenze più alte (suoni più acuti). Il materiale (legno, plastica, metallo) della cassa influisce sul timbro e sulla sostenibilità del suono.
Gli effetti della tensione T, della lunghezza L e della massa per unità di lunghezza μ della corda sono cruciali nella determinazione della frequenza della vibrazione. In un cordofono come la chitarra, queste variabili vengono regolate per ottenere le note desiderate:
- la tensione della corda viene regolata tramite le meccaniche di accordatura;
- la lunghezza della corda varia a seconda di dove viene fermata (ad esempio, con le dita nella chitarra o nel violino);
- la massa della corda influisce sulla sua capacità di produrre note gravi o acute. Corde più spesse e pesanti tendono a produrre suoni più gravi.
La relazione tra tensione, lunghezza e massa si traduce nel fatto che per aumentare la frequenza (suono più acuto) occorre aumentare la tensione T, ridurre la lunghezza L o ridurre la massa per unità di lunghezza μ.
La sostenibilità del suono in un cordofono è influenzata dalla resistenza interna della corda, dalla capacità di smorzamento della cassa di risonanza e dall'efficienza del trasferimento energetico dalla corda alla cassa di risonanza. La capacità di un suono di "sostenersi" nel tempo dipende da come la cassa di risonanza amplifica il suono e da come l'energia vibratoria viene trasferita all'aria.
Tutte queste considerazioni, se pure espresse in forma molto generale e senza entrare nel merito dei metodi e dei procedimenti per la determinazione dei parametri ottimizzati, evidenziano le differenze sostanziali della meccanica dello strumento rispetto alla fisica acustica.
Le problematiche di interazione fra le corde e la cassa armonica sono estremamente complesse ma rappresentano uno degli aspetti sostanziali della meccanica dello strumento. Altre interazioni caratterizzanti sono quelle fra corda e ponte, tra corda e arco (per strumenti ad arco), tra corda e ambiente circostante (aria), tra strumento e strumentista, tra corda e corda e tra corda e ponte. In futuri articoli si entrerà nel merito di tematiche specifiche.
La meccanica dello strumento: un approccio sistematico
L’approccio che guida la meccanica dello strumento musicale si sviluppa quindi a partire dalla resistenza meccanica delle parti strumentali all’azione di sollecitazioni esterne di vario genere per passare poi al comportamento dinamico strutturale, con particolare riferimento ai fenomeni vibratori flessionali e torsionali indotti sullo strumento dalla sua utilizzazione e per concludersi con il comportamento acustico, in termini di caratteristiche del suono generato.
L’applicazione di tali conoscenze si sviluppa su tutto il percorso realizzativo dello strumento: dalle prime fasi della sua costruzione fino al suo completamento, manutenzione e conservazione. Le informazioni meccaniche su strumenti realizzati sono, in generale, molto carenti o nulle. Si osserva che ancora oggi nella classificazione e catalogazione di strumenti musicali ci si limita spesso a sole osservazioni geometriche, dimensionali ed estetiche, con eventuali estensioni a riscontri chimico-fisici essenziali. Ciò è certamente necessario ma non trasferisce alcuna conoscenza in merito alle caratteristiche peculiari dello strumento, che continuano ad essere legate alla correlazione fra comportamento dinamico e suono generato.
Ciò vale a maggior ragione in termini di monitoraggio temporale dello strumento: si pensi alla mole di informazioni persa su strumenti di pregio dal momento in cui sono stati catalogati ad oggi per non aver applicato sistematicamente indagini sulla loro risposta meccanica in generale e vibratoria e acustica in particolare, e sulle relative modificazioni nel tempo.
La meccanica dello strumento ha strette e imprescindibili interazioni con molte altre discipline, non solo scientifiche. Tali interazioni sono talmente estese e diversificate che sfuggono ad una sintetica classificazione.
La caratterizzazione meccanica è fondamentale per evidenziare criticità ma soprattutto peculiarità dello strumento. Le procedure sperimentali sono preziose per sostenere il processo di costruzione di manufatti e per comprendere come lo strumento vari nel tempo le proprie caratteristiche. Per strumenti di pregio e antichi questo è elemento importante per poter potersi cimentare, su base scientifica, nella realizzazione di repliche fedeli dello strumento di interesse.
È possibile oggi mettere a punto metodologie e tecniche specifiche di indagine anche non convenzionali, allo scopo di fornire un supporto scientifico e di sperimentazione ai costruttori di strumenti artigianali, in un’ottica di stretta interazione. Il monitoraggio vibro-acustico permette di aggiornare periodicamente il profilo musicale dello strumento evidenziandone maggiormente le caratteristiche di originalità costruttiva e unicità nel caso di prodotti di alto artigianato.
Ma anche nel settore della produzione industriale di strumenti, dove il requisito utile per la produzione di serie è quello dell’omologazione, l’approccio meccanico consente di valutare la standardizzazione del prodotto.
Il comportamento dinamico, vibratorio e acustico di uno strumento è molto complesso da analizzare e i modelli matematici di riferimento sono spesso definiti da equazioni o sistemi di equazioni che non consentono una soluzione esplicita. Ciò giustifica da un lato il ricorso a procedimenti numerici di soluzione e dall’altro a procedimenti di indagine sperimentale dove la sensoristica e la strumentazione portatile giocano un ruolo significativo soprattutto a supporto di realtà artigianali o per rilievi su strumenti di pregio conservati in strutture museali.
Per concludere si vuole far riflettere sul fatto che il suono prodotto da uno strumento musicale rappresenta solo l’ultima fase di un complesso percorso che ha origine dalle prime fasi costruttive di scelta dei materiali, passando poi attraverso tutta la fase realizzativa. Una disciplina che sia in grado di supportare a livello scientifico tale percorso appare quindi fondamentale indipendentemente dal tipo di costruzione seguita, sia essa artigianale o meccanizzata.
Riferimenti bibliografici
E. Ravina, A.L. Maramotti Politi, “La corda musicale”, (2024), Lipizer, Gorizia, Ed. La Laguna.
E. Ravina, “Sulla meccanica dello strumento musicale”, (2023), Liuteria Musica Cultura n. 2, pp. 9-19.
E. Ravina, “La corda musicale e la meccanica dello strumento”, (2023), in Atti del Convegno “Liuteria, Musica, Ricerca: un dialogo necessario”, Biblioteca Statale di Cremona, Cremona, 22 Settembre 2023.
E. Ravina, “Elementi di Meccanica degli strumenti musicali” (2019), Ed. Genova University Press.
E. Ravina “Il ruolo della meccanica dello strumento per la salvaguardia e restauro dei beni liutari”, (2017), Liuteria Musica Cultura, n. 1, pp. 9-18.
Enrico Ravina
© Riproduzione riservata
24/04/2026